导语

二尖瓣反流(MR)是一种常见的心脏瓣膜疾病,严重时需进行经导管二尖瓣缘对缘修复术(TEER)。以往研究表明,右心室(RV)功能对患者术后预后至关重要,但传统超声评估方法存在局限。一项发表于《Circulation: Cardiovascular Imaging》的研究显示,基于深度学习的右心室射血分数(RVEF)评估方法,不仅超越传统评估指标,还能为患者术后管理提供更精准的指导。(图1)。

图1 深度学习辅助评估右心室功能可改善重度二尖瓣反流患者TEER术后的生存预后
一、研究设计:
多中心真实世界队列验证
Part.1
1. 纳排标准:纳入2017-2023年间在德国三家中心接受TEER治疗的中重度或重度MR患者,并最终筛选出1154名拥有高质量术前心尖四腔心超声视频的患者作为研究样本。
2. 核心技术:本研究采用预先训练好的深度学习模型RVENet作为核心技术,该模型以3D超声心动图测得的RVEF为训练“金标准”,能够自动处理患者的二维超声视频,精准输出右心室射血分数(RVEF)预测值。在此基础上,进一步将深度学习预测的RVEF与多参数临床评分MitraScore相结合,构建了一个更具综合性和精准度的拓展预后评估模型。
3. 性能评估:通过计算AUC等指标,将深度学习预测的RVEF与传统超声参数和复合临床评分MitraScore进行对比,并以术后1年全因死亡率作为终点评估其预后预测性能。
二、研究结果:深度学习预测 RVEF
的预后价值与临床分层效能
Part.1
1. 研究对象基线特征与整体生存状况
在基线特征1154 例患者中位年龄为 79.7 岁,55.9% 为男性;72.0% 患者NYHA心功能分级为 III 级,17.0% 为 IV 级,中位 NT-proBNP水平达 3180pg/mL,提示患者整体病情较重。在生存结局,所有患者 TEER 术后 1 年、2年、3年的生存率分别为84.7%、74.2%、49.5%。并且2020-2023 年治疗患者的生存率显著优于 2017-2019 年患者,且后期治疗患者术后残余 MR 程度更轻(图2)。

图 2 研究样本的一般信息以及适合深度学习模型分析的顶端 4 腔视图的可用性
2. 深度学习预测 RVEF 与传统右心功能指标的相关性及预后价值对比
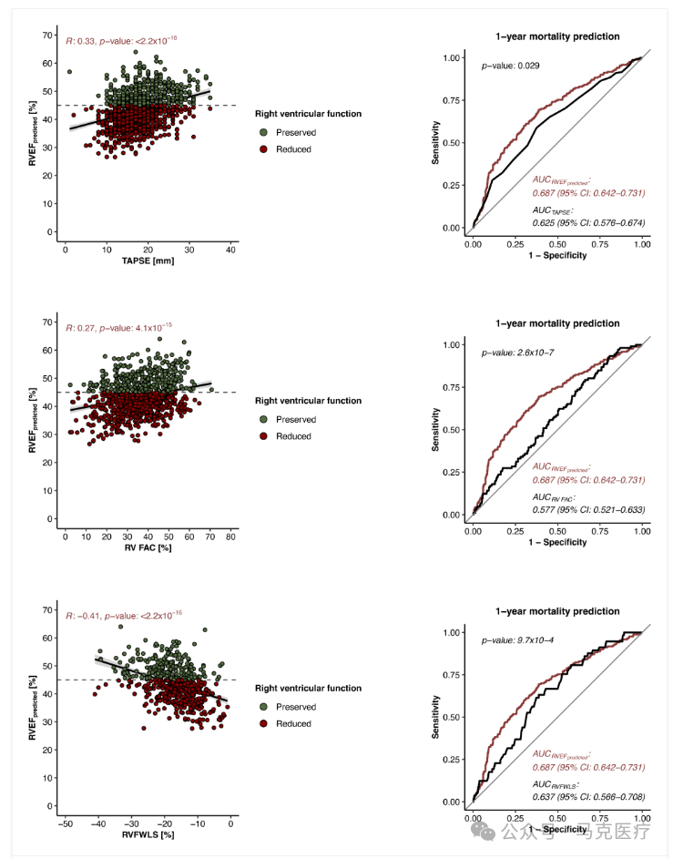
相关性分析显示,其与传统常用指标三尖瓣环收缩期位移(TAPSE)仅呈中度相关,与右心室面积变化分数(RV FAC)、右心室游离壁纵向应变(RVFWLS)的相关性亦有限,提示深度学习预测的 RVEF 能提供不同于传统指标的独立信息。在预后预测性能上,深度学习预测 RVEF 对 TEER 术后 1 年死亡率的预测效能显著优于传统指标。同时,也优于医生对右心室功能的 5 级定性评分。此外,无论患者 MR 病因如何,深度学习预测 RVEF 均保持良好的 1 年死亡率预测效能,体现出稳定的泛化能力(图 3、图 4和图 5)。

图 3 深度学习预测右心室RVEF值与TAPSE、RV FAC 和 RVFWLS 测量的相关性图和受试者工作特征分析

图 4 右心室功能的视觉评估和 RV 功能传统指标的组合,以识别MV经导管边缘到边缘修复后死亡的高危患者

图 5 根据潜在MR原因,对深度学习预测的右心室RVEF值进行受试者工作特征分析
3. 基于深度学习预测 RVEF 的患者风险分层
功能降低组 1 年生存率显著低于功能保留组,前者 1 年死亡风险是后者的 2.67 倍。进一步分析传统指标分层的不确定性人群发现,对于仅满足 ≤ 2 项传统右心功能不全标准的患者,深度学习预测 RVEF 可进一步将其分为低危与高危亚组,高危亚组 1 年死亡风险是低危亚组的 7.16 倍,有效解决传统指标分层模糊的问题(图 6和图 7)。

图 6按照右心室功能以深度学习预测右心室RVEF绘制Kaplan-Meier 生存曲线

图 7 根据右心室功能绘制 Kaplan-Meier 生存曲线,适用于符合 4 项传统右心室功能障碍标准中最多 2 项标准的患者
4. 深度学习预测 RVEF 与 MitraScore 的联合预后评估效果
在 1154 例患者中,91.4%可计算 MitraScore,其中最常见得分为 4 分,且 MitraScore 越高,患者 1 年死亡率越高,体现其预后价值。对比分析显示,深度学习预测 RVEF 的预后价值与 MitraScore 相当(AUC=0.687 vs 0.662);当将 “预测 RVEF<45%” 作为额外指标纳入 MitraScore 构建 “拓展 MitraScore” 后,其预测 1 年死亡率的 AUC 显著提升至 0.699,增强了传统评分系统的预后评估准确性,为临床提供更精准的风险分层工具(图8)。

图 8 将右心室 (RV) 功能障碍与多参数 MitraScore 结合起来,以预测二尖瓣 (MV) 经导管边缘到边缘修复 (TEER) 后的 1 年死亡率
三、研究总结
Part.3
该研究评估了既往发表的深度学习模型,用于重度二尖瓣反流患者右心射血分数 RVEF 评估的预后意义,其预测的 RVEF 预后能力优于 TAPSE、与多参数 MitraScore 相当,凸显右心功能在左心疾病中的关键作用。研究证实,借深度学习从简易、易获取且性价比高的成像技术中提取临床信息,或为超声心动图分析提供变革性方法。将其纳入临床,可优化患者护理,实现精准风险分层与个体化治疗。
四、研究意义与未来
Part.4
该研究基于深度学习的RVEF评估可精准识别TEER术后高风险患者,辅助临床早期干预与随访,改善预后。此方法仅需常规二维超声视频,成本低、易推广,未来有望集成至超声设备实现实时自动化评估,推动心血管病智能个体化管理。下一步将前瞻性验证临床效用,探索多中心泛化能力,并结合多模态数据优化风险分层,为患者提供更全面的预后评估与治疗指导。
参考文献:Lachmann M, et al. Deep Learning-Enabled Assessment of Right Ventricular Function Improves Prognostication After Transcatheter Edge-to-Edge Repair for Mitral Regurgitation. Circ Cardiovasc Imaging. 2025 Jan;18(1):e017005.
